DAFTAR ISI
1. Jurnal2. Alat dan Bahan3. Rangkaian Simulasi4. Prinsip Kerja Rangkaian5. Video Rangkaian6. Analisa7. Link Download
1. Jurnal
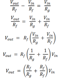
Rangkaian non inverting berfungsi untuk memperkuat sinyal input tanpa mengubah polaritas sinyal yang diperkuat. Prinsip kerjanya hampir sama dengan inverting, namun input sumber dihubungkan ke terminal non inverting pada Op-Amp. Kondisi ideal Op-Amp yang digunakan masih sama dengan inverting yaitu beda tegangan pada kedua kaki input Op-Amp = 0 dan arus yang mengalir pada kedua input = 0. Dengan kedua kondisi tersebut maka Op-Amp akan menjadi open circuit dan menjadikan Rin dan Rf menjadi seri. Lalu dilakukan analisa pada arus sehingga didapatkan persamaan :
6. Analisa [ K E M B A L I]
1. Jelaskan prinsip kerja dari rangkaian non inverting
Rangkaian non inverting akan diberikan inputan pada kaki non inverting OP-AMP debgan perbedaan antara tegangan kaki inverting dan non inverting pada OP-AMP. Output rangkaian ini berupa inputan yang ditingkatkan tanpa adanya pembalikkan polarotas inputan
2. Apa pengaruh Vin terhadap Vout pada rangkaian non inverting
Inputan yang diberikan pada rangakain non inverting melalui kaki non inverting pada OP-AMP akan dikuatkan tanpa adanya pembalikkan polaritas. Semakin besar inputan maka output yang dihasilkan akan semakin besar
3. Jelaskan pengaruh dari +Vsat dan -Vsat saturasi pada tegangan output yang dihasilkan
+/- Vsaturasi memberikan kondisi batasan maximum dari inputan (peningkatan input) yang dipertujukan untuk menjaga OP-AMP tidak cepat rusak. +/- Vsaturasi dipergunakan pada inputan AC yang berubah- ubah polaritasnya yang diberikan pada rangkaian non inverting
4. Bagaimana turunan rmus Vout dan rangkaian non inverting






0 komentar:
Posting Komentar